Quantifying value-for-money wines - part 1
— issues with quantifying value for money
Quantifying value-for-money wines - part 2
— empirically comparing wines within a specified wine group
Quantifying value-for-money wines - part 3
— formulae for assessing individual wines against a baseline wine
Quantifying value-for-money wines - part 4
— empirically comparing wines across wine groups
Formulae for assessing individual wines against a baseline wine
In the previous post (Part 2) I considered empirical methods for trying to quantify value for money as related to wine, which is usually expressed as a quality to price ratio (QPR). The QPR method that I presented involved fitting the exponential (log-linear) model to the price and quality data for a set of comparable wines. Although it is very effective, this approach is not very practical for assessing single wines (eg. in a shop).
In this post I discuss an alternative approach, which is still based on the exponential model (and thus assumes a non-linear relationship between wine price and quality), but which allows individual wines to be compared to the QPR value for a "baseline" wine. This allows the QPR value to be calculated for any wines that are comparable to the base wine. That is, the QPR can be calculated relative to groups of similar wines; for example, red Burgundy, California chardonnay, or Australian shiraz.
The Wellesley Wine Press QPR
This measure of the quality to price ratio (QPR) was developed by Robert Dwyer at the Wellesley Wine Press blog. The wwpQPR approach specifies a particular equation for the QPR relationship and then adjusts it to fit each type of wine. The idea is that the equation is a "one size fits all" version of the empirical method discussed in the previous post, which is then adjusted relative to a specified baseline wine.
For those of you who are mathematically inclined, the equation is an exponential model:
Price = (2^((Quality-90)/3))*20
This can also be represented in a log-linear form:
log2(Price) = ((Quality-90)/3)+log2(20)
The "90" is this equation is the quality score of the baseline wine (using the standard 100-point scale), and the "20" is the price of that wine (in any currency you want to use).The shape of this QPR equation is shown in the first graph, with two different example baseline wines. The blue line has a baseline wine of Quality 90 = US$ 20, while the pink line has Quality 90 = US$ 40.
For any given wine, the Wellesley Wine Press QPR score is simply:
wwpQPR = (2^((Quality-90)/3))/(Price/20)
A score of 1 means that the wine has the same QPR as the baseline wine; and values greater than 1 indicate a better quality : price ratio. The Wellesley Wine Press blog provides a convenient calculator on the right-hand side of every blog page — all you need to do is enter the information for the baseline wine of your choice, along with the information for the wine you are evaluating.The choice of baseline wine is the key to success. A different baseline needs to be used for each category of wine, because the prices can vary dramatically between categories. Dwyer suggests that you choose "the price point at which it becomes relatively easy to find a 90-point wine from the category", which he often interprets in practice as being the average price for a 90-point wine. For his own wine evaluations on his blog, these are some of his examples:
| Standard California Pinot Noir California Sauvignon Blanc California Zinfandel Napa Cabernet Washington Cabernet Bordeaux red Chateauneuf du Pape red Tuscany red New Zealand Sauvignon Blanc |
$20 $30–43 $26 $35 $45–50 $33 $25–40 $30–35 $38 $19 |
As a specific example, the second graph shows the wwpQPR method applied to the 301 red Bordeaux wines from the 2000 vintage, as used in my previous blog post (Part 2). The black line is the empirical exponential model shown in the previous post (ie. it is the best fit to the data). The darker blue line sets the wwpQPR baseline at Quality 90 = US$ 36, which is the average price for a 90-point wine in the dataset. The lighter blue line sets the wwpQPR baseline at Quality 90 = US$42, which is the price estimated by the exponential model (ie. the black line). Note that these are at the top end of the price range suggested above for Bordeaux wines.
So, wines below each of the three lines are assessed as having good quality : price ratio — the further below the line then the better is the QPR. Obviously, there are slightly different results for each method. The darker blue line is the most "conservative", in the sense that it suggests the fewest wines as having high QPR — it is the lowest line, and so there are fewest wines below it. There is little practical difference between the other two lines, in this example.
RJ Price Per Premium Point
A variant of this idea is presented by Richard Jennings at the RJonWine blog. The RJ-PPPP approach is basically a piecewise version of the wwpQP. That is, it follows the same sort of exponential model but changes the details at certain quality scores. In this case, the equation changes notably at scores of 80, 85, 93 and 95.
The third graph shows a comparison of the TBC index (see Part 1), the wwpQPR (90 = $20), and the RJ-PPPP. The RJ-PPPP assumes a baseline wine of Quality score 90 = $22.
Note that the RJ-PPPP index does not form a smooth curve — this is what "piecewise" means in this case. In this particular comparison, the RJ-PPPP index matches the wwpQPR (90 = $20) only in the quality-score range 81–86 points. On the other hand, in the range 86–91 points the RJ-PPPP actually matches the wwpQPR based on 90 = $22, instead.
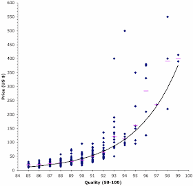
As a specific example, the fourth graph shows the RJ-PPPP and wwpQPR methods applied to the 230 US chardonnay wines from grocery stores, as used in an earlier blog post (The relationship of wine quality to price). The black line is the empirical exponential model shown in the previous post (ie. it is the best fit to the data). The pink line sets the wwpQPR baseline at Quality 90 = US$ 22. The light blue line is the RJ-PPPP. As noted earlier, wines below each of the three lines are assessed as having good quality : price ratio — the further below the line then the better is the QPR.
Note that the wwpQPR and RJ-PPPP methods produce very similar results for this dataset, and they are quite different from the results of the empirical method. Indeed, below a quality score of 87 the only wine that all three methods identify as having good QPR is the one highlighted in red, whereas there is more agreement above a score of 89 (ie. in the range $15–20).
So, in practice, the RJ-PPPP is simply a combination of different wwpQPR calculations, with each range of quality scores adjusted to a different baseline price.
Where to from here?
In this series of blog posts I have summarized all of the methods that I have come across for quantifying the wine quality : price ratio (QPR). They are all related in one way or another, and will obviously produce the same results in many cases. What is most obvious is that the calculations need to be different for each wine category (eg. grape type and region), because the prices vary so much between groups.
Nevertheless, there are also important differences between these methods. Perhaps the most important are whether they deal with the non-linear relationship between quality and price, and whether they address the potential confusion cased by the lower boundaries for both quality scores and prices.
The empirical QPR approach (see Part 2) will work best for identifying those wines with a good quality : price ratio, because it provides the best fit to the data for each wine category. However, not too many people are wandering around with a computer full of wine price and quality data in their back pocket. So, it is only practical for doing some research at home (or work!), before purchasing any wine; and even then you need to access a suitable set of data (scores and prices are available at many wine sites).
The wwpQPR approach (see above) is much more practical for on-the-spot decisions when purchasing wine, provided you can access the Wellesley Wine Press web page to do the calculations (or write your own mobile app). Applying the wwpQPR approach is simple, and it produces results that are very similar to the empirical method. However, you need to first choose a baseline wine for each category, which you will have to do from your own past experience. In this sense, the method is somewhat volatile, because a small change in baseline price can have a big effect on the resulting QPR score.
I am interested to know whether anyone has any practical experience at trying any of the methods that I have summarized here.



















